四冲程内燃机的工作原理与性能指标!
四冲程内燃机的工作原理与性能指标!
四冲程汽油机工作原理,按:进气——压缩——做功——排气,这四个冲程循环往复的工作。

四冲程汽油机的工作原理

四冲程汽油机做功示意图
进气冲程:
(1)作用:吸入新鲜混合气
(2)活塞运动: 从上止点向下止点
(3)曲轴转角:0~180 度
(4)气门状态:进气门打开,排气门关闭
(5)终了压力: 75~90 kPa
(6)终了温度: 80~130 摄氏度
压缩冲程:
(1)作用:压缩混合气,为燃烧创造条件
(2)活塞运动:从下止点向上止点
(3)曲轴转角:180~360 度
(4)气门状态:进、排气门均关闭
(5)终了压力: 800~1400 kPa
(6)终了温度: 350~400 摄氏度
做功冲程:
(1)作用:燃烧高温高压气体膨胀做功
(2)活塞运动:从上止点向下止点
(3)曲轴转角:360~540 度
(4)气门状态: 进气门、排气门均关闭
(5)最高压力: 2490 ~3520 kPa
(6)终了压力: 300~500 kPa
(7)终了温度: 1200 摄氏度
排气冲程:
(1)作用: 排出膨胀做功后的废气
(2)活塞运动:从下止点向上止点
(3)曲轴转角:540~720 度
(4)气门状态:进气门关闭、排气门打开
(5)终了压力: 105~120 kPa
(6)终了温度: 600~900 摄氏度
综上所述:
发动机每完成一个工作循环时,曲轴转动二周(720℃A),进、排气门各开启一次,活塞完成四个行程,其中进气、压缩和排气行程是消耗动力,只有作功行程产生动力。
每完成一次进气、压缩、作功、排气的过程,称为一个工作循环。
四冲程柴油机工作原理:同样包括进气、压缩、做功和排气四个过程。
在各个活塞行程中,进、排气门的开闭和曲柄连杆机构的运动与汽油机完全相同。只是由于柴油和汽油的使用性能不同,使柴油机和汽油机在混合气形成方法及着火方式上有着根本的差别。
进气行程
在柴油机进气行程中,被吸入气缸的只是纯净的空气。
压缩行程
因为柴油机的压缩比大,所以压缩行程终了时气体压力高。
做功行程
在压缩行程结束时,喷油泵将柴油泵入喷油器,并通过喷油器喷入燃烧室。因为喷油压力很高,喷孔直径很小,所以喷出的柴油呈细雾状。细微的油滴在炽热的空气中迅速蒸发汽化,并借助于空气的运动,迅速与空气混合形成可燃混合气。由于气缸内的温度远高于柴油的自燃点,因此柴油随即自行着火燃烧。燃烧气体的压力、温度迅速升高,体积急剧膨胀。在气体压力的作用下,活塞推动连杆,连杆推动曲轴旋转做功。
排气行程
排气行程开始,排气门开启,进气门仍然关闭,燃烧后的废气排出气缸。

汽油机与柴油机比较
共同点:
1)每个工作循环都包含进气、压缩、作功和排气等四个活塞行程,每个行程各占180°曲轴转角,即曲轴每旋转两周完成一个工作循环。
2)四个活塞行程中,只有一个做功行程,其余三个是耗功行程。显然,在作功行程曲轴旋转的角速度要比其他三个行程时大得多,即在一个工作循环内曲轴的角速度是不均匀的。为了改善曲轴旋转的不均匀性,可在曲轴上安装转动惯量较大的飞轮或采用多缸内燃机并使其按一定的工作顺序依次进行工作。
不同之处是:
1)汽油机的可燃混合气在气缸外部开始形成并延续到进气和压缩行程终了,时间较长。柴油机的可燃混合气在气缸内部形成,从压缩行程接近终了时开始,并占小部分做功行程,时间很短。
2)汽油机的可燃混合气用电火花点燃,柴油机则是自燃。所以又称汽油机为点燃式内燃机,称柴油机为压燃式内燃机。

四冲程汽油机、柴油机缸内压力、温度比较(p:Mpa;T:K)

四冲程汽油机、柴油机特点比较
1、由于柴油机压缩比较高,燃料燃烧非常完全,所以柴油机的有效热效率好,经济性好。
汽油机:be=270~325 g/(kw.h)
柴油机: be=214~285 g/(kw.h)
2、柴油机无点火系,所以故障少些,易保养。但柴油机有高精度零件如喷油泵、喷油器等,其成本较高,并且加工较难。
3、柴油机最高爆发压力高,所以对发动机的零部件强度要求高,这样导致柴油机笨重。
4、柴油机转速低于汽油机
原因:
a.由于柴油机的压缩比高,所以其受到的机械负荷较大,故其零部件的质量需较大,导致运动时惯性力较大。
b.汽油机可燃混合气的混合时间和质量优于柴油机。
5、柴油机运转噪音高,但有害气体的排放优于汽油机,而微粒排放较高。
6、柴油机启动困难,汽油机易启动。
发动机的性能指标用来表征发动机的性能特点,并作为评价各类发动机性能优劣的依据。同时,发动机性能指标的建立还促进了发动机结构的不断改进和创新。因此,发动机构造的变革和多样性是与发动机性能指标的不断完善和提高密切相关的。
一、动力性指标
动力性指标是表征发动机作功能力大小的指标,一般用发动机的有效转矩、有效功率、转速和平均有效压力等作为评价发动机动力性好坏的指标。
1.有效转矩 :
发动机对外输出的转矩称为有效转矩,记作 Te,单位为 N·m 。有效转矩与曲轴角位移的乘积即为发动机对外输出的有效功。
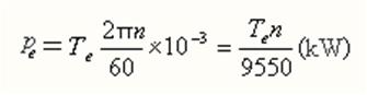
2.有效功率:
发动机在单位时间对外输出的有效功称为有效功率,记作 pe 单位为 KW。它等于有效转矩与曲轴角速度的乘积。发动机的有效功率可以用台架试验方法测定,也可用测功器测定有效转矩和曲轴角速度,然后用公式计算出发动机的有效功率 pe:

式中:Te—有效转矩,N·m;
n—曲轴转速,r/min。
3.发动机转速
发动机曲轴每分钟的回转数称为发动机转速,用 n 表示,单位为 r/min 。发动机转速的高低,关系到单位时间内作功次数的多少或发动机有效功率的大小,即发动机的有效功率随转速的不同而改变。因此,在说明发动机有效功率的大小时,必须同时指明其相应的转速。在发动机产品标牌上规定的有效功率及其相应的转速分别称作标定功率和标定转速。发动机在标定功率和标定转速下的工作状况称作标定工况。标定功率不是发动机所能发出的最大功率,它是根据发动机用途而制定的有效功率最大使用限度。
4.平均有效压力
单位气缸工作容积发出的有效功称为平均有效压力,记作 pme,单位为 MPa 。显然,平均有效压力越大,发动机的作功能力越强。
二、 经济性指标
发动机经济性指标包括有效热效率和有效燃油消耗率等。
1.有效热效率:
燃料燃烧所产生的热量转化为有效功的百分数称为有效热效率,记作 ηe。显然,为获得一定数量的有效功所消耗的热量越少,有效热效率越高,发动机的经济性越好。
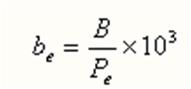
2.有效燃油消耗率:
发动机每输出 1kW 的有效功所消耗的燃油量称为有效燃油消耗率,记作 be,单位为 g/(kW·h)。

式中:B—发动机在单位时间内的耗油量,kg/h;
Pe—发动机的有效功率,kW。
显然,有效燃油消耗率越低,经济性越好。
三、强化指标
强化指标是指发动机承受热负荷和机械负荷能力的评价指标,一般包括升功率和强化系数等。
1.升功率:
发动机在标定工况下,单位发动机排量输出的有效功率称为升功率。升功率大,表明每升气缸工作容积发出的有效功率大,发动机的热负荷和机械负荷都高。
2.强化系数 :
平均有效压力与活塞平均速度的乘积称为强化系数。活塞平均速度是指发动机在标定转速下工作时,活塞往复运动速度的平均值。
四、紧凑性指标
紧凑性指标是用来表征发动机总体结构紧凑程度的指标,通常用比容积和比质量衡量。
1.比容积:
发动机外廓体积与其标定功率的比值称为比容积。
2.比质量:
发动机的干质量与其标定功率的比值称为比质量。干质量是指未加注燃油、机油和冷却液的发动机质量。比容积和比质量越小,发动机结构越紧凑。
五、环境指标
环境指标用来评价发动机排气品质和噪声水平。由于它关系到人类的健康及其赖以生存的环境,因此各国政府都制定出严格的控制法规,以期消减发动机排气和噪声对环境的污染。
六、可靠性指标
可靠性指标是表征发动机在规定的使用条件下,正常持续工作能力的指标。可靠性有多种评价方法,如首发故障行驶里程、平均故障间隔里程、主要零件的损坏率等。
七、耐久性指标
耐久性指标是指发动机主要零件磨损到不能继续正常工作的极限时间。通常用发动机的大修里程,即发动机从出厂到第一次大修之间汽车行驶的里程数来衡量。
八、工艺性指标
工艺性指标是指评价发动机制造工艺性和维修工艺性好坏的指标。发动机结构工艺性好,则便于制造,便于维修,就可以降低生产成本和维修费用。
九、内燃机速度特性
汽车发动机的工况在很广泛的范围内变化。当发动机的工况(即功率和转速)发生变化时,其性能(包括动力性、经济性、排放性和噪声等)也随之改变。因此,在评价和选用发动机时就必须考察它在各种工况下的性能,才能全面判断其好坏及能否满足汽车的要求。
发动机性能指标随调整状况及运行工况而变化的关系称为发动机特性,利用特性曲线可以简单而又方便地评价发动机性能。
发动机的有效功率 Pe、有效转矩 Te 和有效燃油消耗率 be 随发动机转速 n 的变化关系称为发动机速度特性。

发动机速度特性曲线图
发动机负荷率的定义,如果利用发动机的速度特性来说明负荷率或负荷的概念就更为清楚。曲线I为外特性,曲线II、III为部分速度特性。在 n=3500r/min时,若节气门全开,可得到该转速下可能发出的最大功率45KW。但如果不全开而开到II和III的位置,则同样转速下只能发出32KW和20KW的功率。根据上述定义,可求出 a、b、c 和 d 四个工况下的负荷值:

工况 a 负荷为零(称为发动机空转工况);
工况 b 负荷=20/45×100%=44.4%;
工况 c 负荷=32/45 ×100%=71.1%;
工况 d 负荷=45/45×100%=100%(即发动机全负荷)。
以上就是全部内容,信息化的时代是知识共享和普及的时代。但是还有一种是需要人们花费时间不断锻炼、练习才能获得的能力,叫做技能。社会上有两种人才,一种是知识型,一种是技能型,学会技能能够更有效率和更好的完成所需的工作和任务,而知识的学会则大多数不会很快的显现出它的用处和价值,所以利用好自己储存的知识再加之学会必要的生存技能,才会活出更高质量的生活,希望我们共同努力一起往这方面发展、前进!
-
- 中国GDP百强城市榜以及人口数量(2018年数据)
-
2026-01-25 10:38:42
-
- 福建省福清市概况
-
2026-01-25 10:36:28
-
- 侯梦莎:我这辈子最正确的决定,就是嫁给我的同行丈夫
-
2026-01-25 10:34:13
-
- 演员朱泳腾:与妻子相亲认识,风雨23年生一子,曾向陆毅取育儿经
-
2026-01-25 10:31:59
-
- 抗战期间,杂牌军出身的施中诚,为何能成为王牌74军第三任军长?
-
2026-01-25 10:29:45
-
- 被称为“战神”人物盘点:「异度魔界先锋战神」-吞佛童子
-
2026-01-25 10:27:30
-
- 网红初代目,杀马特鼻祖,沉珂消失与重现的背后有多荒诞?
-
2026-01-25 10:25:16
-
- 小说:他的蛋炒饭高价出售,却一个顾客都没有,仇人上门来羞辱他
-
2026-01-25 10:23:02
-
- 江西婺源的油菜花又开了(绝美盛开等你入画)
-
2026-01-24 23:18:58
-
- 青岛自行车厂回顾,承载城市记忆的“大金鹿”
-
2026-01-24 23:16:43
-
- 中国天才曹原:破解百年科学难题,拒绝美国绿卡,毅然回国效力
-
2026-01-24 23:14:29
-
- 金泽古镇:千年水乡风情,古朴建筑惹人醉
-
2026-01-22 18:15:49
-
- 机械研究生毕业工资
-
2026-01-22 18:13:35
-
- 钓鱼新手必看:掌握上钩挂铅找底调漂法,成为钓鱼达人!
-
2026-01-22 18:11:21
-
- 川乌头——毒公
-
2026-01-22 18:09:06
-
- 颤抖吧假货:SWAROVSKI 施华洛世奇 宣布启用全新标签 增大打假力度
-
2026-01-22 18:06:52
-
- 白饭杀手明太子,你有了解过吗?
-
2026-01-22 18:04:38
-
- Win10系统激活教程:win10企业版永久激活的方法
-
2026-01-22 18:02:23
-
- 【楹联雅韵】上联:世事无常人有义,请师友赐下联!
-
2026-01-22 18:00:09
-
- “传承文化根脉·山歌唱响未来” 安顺山歌传唱活动在旧州举行
-
2026-01-22 17:57:55



以前很红的歌星卫兰,为何突然销声匿迹了?
网传将鄂州并入武汉,城市体量小,又是都市圈副城等都是关键因素